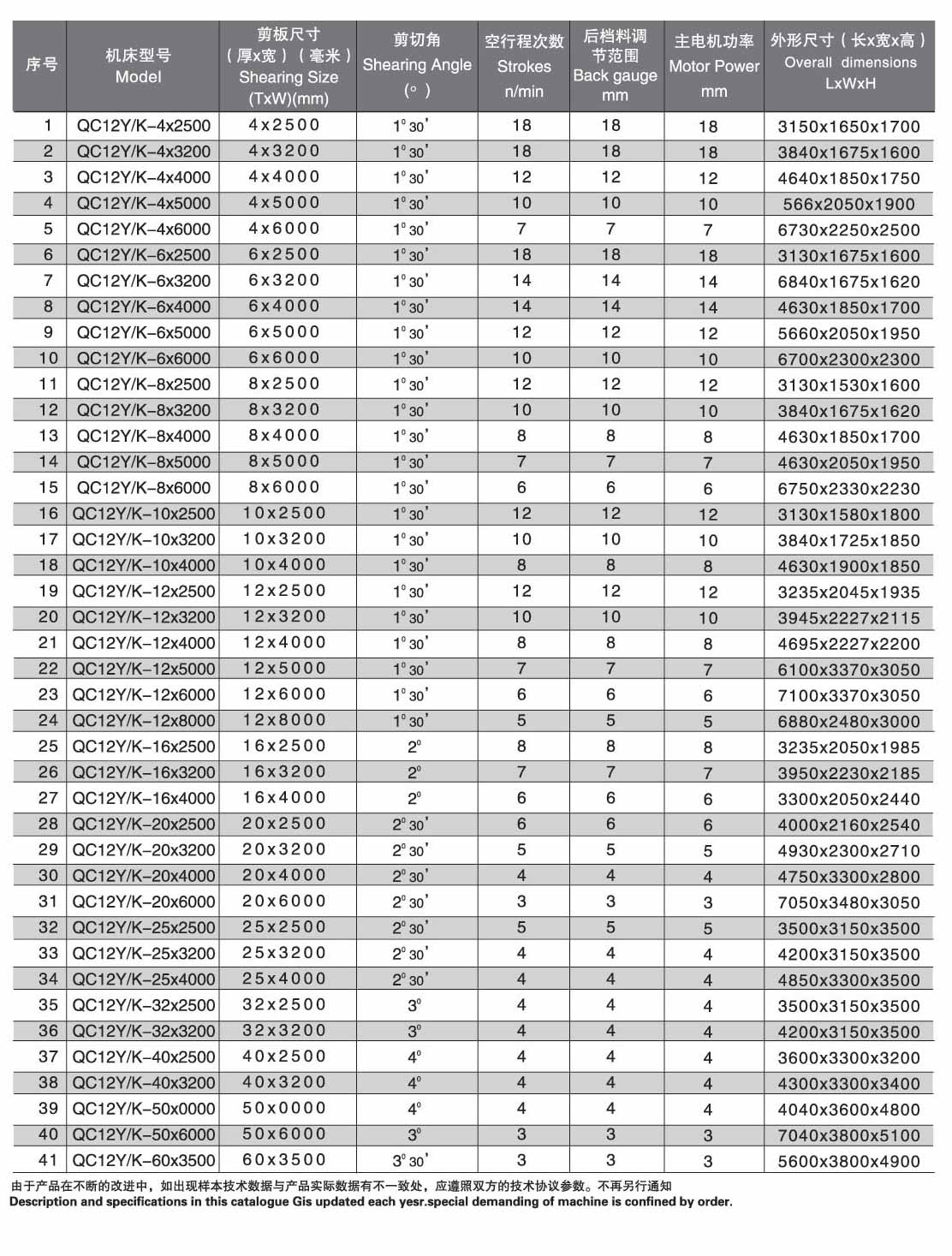
液压摆式剪板机

QC12K-系列数控液压摆式剪板机